Реализация БАВР на секциях шин с двигательной нагрузкой
Рассмотрим проблему реализации синхронного включения секционного выключателя в комплексе быстродействующего автоматического ввода резерва. Одно из требований к БАВР – включение секционного выключателя в момент, когда вектора напряжения на «здоровой» секции шин и ЭДС обобщенного двигателя, выбегающего на секцию шин, потерявшую питание имеют небольшое расхождение по фазе (в [1] указан диапазон в 30⁰).
Требование обосновано, так как позволяет минимизировать значение переходного тока при включении, но ненулевое время включения секционного выключателя ( ), методические погрешности в определении угла и частоты в цифровых блоках и игнорирование скорости изменения частоты могут привести к нарушению этого требования.
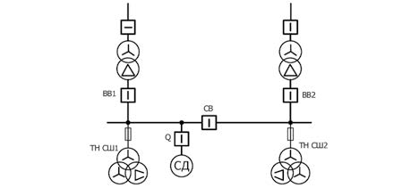
Рассмотрим режим потери питания на секции шин №1 (СШ1), к которой подключен синхронный двигатель (СД). Примем что напряжение на «здоровой» секции шин №2 (СШ2) неизменно по модулю и частоте (см. рис. 1).

Рисунок 1
Уравнение движения вектора напряжения СШ2 есть:
φ_СШ2=ω_ном·t+φ_(0 СШ2)
где φ_СШ2 – текущая фаза, рад;
ω_ном – номинальная круговая частота (угловая скорость), рад/с;
φ_(0 СШ2) – начальная фаза, рад.
Закон движения вектора напряжения СШ1 зависит от закона выбега двигателям. При потере питания напряжение на СШ1 индуцируется только полем возбуждения двигателя. В общем виде закон выбега двигателя есть II-й закон Ньютона для вращающихся тел
J (d^2 φ)/(dt^2 )=M (1)
где J – момент инерции вращающихся масс, кг·м^2;
φ – угол поворота ротора относительно заранее выбранной неподвижной оси, рад;
M – суммарный момент сил, действующий на тело, Н·м.
При двукратном интегрировании уравнения (1), в процессе нахождения зависимости , возникает две константы, определяемые начальными условиями:
φ_0 – начальный угол (угол в начальный момент времени), рад;
(dφ/dt)_(t=0)=ω_0 – начальная угловая скорость, рад⁄с.
Проанализируем каждый из этих параметров и оценим погрешность по углу включения, к которой приводит неточное знание каждого из этих параметров.
Частота
Примем, что алгоритм без погрешности рассчитывает мгновенную частоту, но имеет некоторое окно усреднения для повышения надежности результата (например, стандарт [2] регламентирует расчет частоты не более, чем за 60 мс).
Это приводит к тому, что при усреднении значений за время , при линейно меняющейся частоте, алгоритм будет давать погрешность равную:
∆f=-f ̇ T_(уср.)/2 (2) (2)
где f ̇ – скорость изменения частоты, Гц⁄с;
T_(уср.) – время усреднения, с.
Использование частоты с погрешностью (2) при оценке угла, на который повернется вектор напряжения за время включения выключателя, приведет к погрешности по углу равной:
∆φ_1=2π·∆f·T_вкл (3)
При этом действительный вектор успеет описать большую дугу, чем это следует из расчета.
Угол
Для анализа погрешности по углу рассмотрим переход от мгновенных значений к векторам через выделение основной гармоники с помощью разложения сигнала в ряд Фурье:
С=∫_(t-T)^t▒〖jy·e^(-jωt) dt〗
Так как частота входного сигнала отличается от частоты, используемой для вычисления ортогональных составляющих, то функция под интегралом равна:
y=A∙sin((ω+∆ω)t+φ) (4)
Точное выражение после взятия интеграла имеет вид:
C=A∙sinλ∙[1/λ e^j(∆ωt+φ-λ) -1/(2π+λ) e^(-j((2ω+∆ω)t+φ-λ) ) ]
где λ=π ∆ω/ω
Отсюда следует, что вектор имеет низкочастотную составляющую . Однако в дополнение к этому (в соответствии с АЧХ ДПФ) изменилась амплитуда вектора (в раз) и добавилась высокочастотная составляющая . Конец вектора при этом описывает гипоциклоиду.
Для темы статьи важно, что вектор в среднем всегда отстает от «реального» вектора на угол :
λ:
∆φ_2= π ∆ω/ω (5)
Закон выбега
Выбег двигателя описывается уравнением [5, 6, 7]:
(dω ̂)/dt=-k_зг/τ_j [m_0^'+(1-m_0^' )·ω ̂^γ ] (6)
где k_зг – коэффициент загрузки двигателя по активной мощности;
τ_j – постоянная инерции системы двигатель – приводной агрегат, с;
m_0^' - приведенный начальный момент сопротивления, M_0/(k_зг·M_ном );
ω ̂ – приведенная угловая скорость, ω/ω_ном .
Темп выбега определяется начальным ускорением ((dω ̂)/dt)_(t=0)=-k_зг/τ_j =ε ̂_0.
Для функций ожидания и улавливания синхронизма при выполнении прогноза значения угла может быть использовано предположение о том, что за время включения выключателя частота не меняется. В этом случае погрешность по углу равна:
∆φ_3= ε·(T_(вкл.)^2)/2 (7)
где ε – угловое ускорение (производная частоты), рад⁄с^2 .
Все погрешности имеют одинаковый знак и могут привести к тому, что действительная фаза вектора в момент включения СВ будет отличаться от фазы напряжения «здоровой» СШ более, чем допускается по расчетам.
На рисунке 2 приведены погрешности по углу в зависимости от значения начального ускорения при использовании быстродействующего выключателя ВВМ-СЭЩ-3-10-31,5/1600БАВР c блоком управления БУВВ-СЭЩ-Б1-4 с временем включения 30 мс. На рисунке 3 то же при использовании небыстродействующего выключателя с временем включения 50 мс (время включения современных выключателей может доходить до 100 мс).

Рисунок 2

Рисунок 3
Постоянная инерции для газоперекачивающих агрегатов с электродвигателями СТД-4000-2 и нагнетателем 280-12-7 равна 3,25 с, что позволяет вычислить начальное ускорение при выбеге - 96,6 рад/с^2. По графикам видно, что только методическая погрешность будет составлять 7 и 18 градусов соответственно. При больших значениях начального ускорения и выключателях, включающихся за 70-100 мс методическая погрешность будет составлять десятки градусов!
В устройстве БМРЗ-БАВР производства ООО «НТЦ «Механотроника» применяются следующие решения для точного прогнозирования момента включения секционного выключателя:
- Устройство анализирует не только скорость, но и ускорение вращения векторов секций шин относительно друг друга.
- Учитывается линейное изменение частоты за время включения выключателя, так как погрешность от не учёта этого факта зависит квадратично от времени включения.
- В нормальном режиме значение напряжений и токов рассчитываются за один период промышленной частоты. При фиксации коммутации происходит резкое изменения порядка фильтра таким образом, чтобы анализу подвергались только данные нового режима. Далее порядок фильтра увеличивается по мере поступления новых данных с ТТ и ТН. Такой способ обработки входных сигналов позволяет понять, что напряжение снизилось ниже уставки уже в первые 5 мс после коммутации. Что позволяет не учитывать погрешность, возникающую от расчета ортогональных составляющих на частоте, отличающейся от частоты сигнала, поскольку устройство осуществляет подстройку частоты в необходимом диапазоне и имеет небольшое окно усреднения.
- Предпочтительнее использование быстродействующих выключателей, так как точность прогноза на длительный промежуток времени снижается.
[1] ПАО «Транснефть». Общие технические требования. Устройства быстродействующего автоматического ввода резерва на основе быстродействующих вакуумных выключателей напряжением более 1000 В.
[2] Акционерное общество «Системный оператор единой энергетической системы». Стандарт организации. Релейная защита и автоматика. Автоматическое противоаварийное управление режимами энергосистем. Микропроцессорные устройства автоматической частотной разгрузки. Нормы и требования. – М. 2016

ООО «НТЦ «Механотроника»
г. Санкт-Петербург
тел. 8-800-250-63-60
www.mtrele.ru